深度学习week1_3
版权申明:本文为原创文章,转载请注明原文出处
深度学习week1_3
神经网络概论
引入层的概念,x(i)表示第i个样本 w[1]表示第一层的w,表示是在第一层用到的w
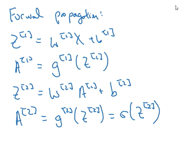
上一节学到的模型如下:
扩展:
和上面的图一样,算出a[1],但是会继续算,继续根据参数计算z[2],最后得到损失函数(交叉熵损失)
神经网络表示
隐藏层:在训练集中,这些中间节点的真实数据,但是在训练集中是看不见的,只能看到输入输出
下图是双层神经网络示例:是双层不是三层是因为输入层通常不被看作一个层,第零层
从左到右依次是输入层,隐藏层,输出层
X:输入特征,或者用a[0]表示,这里的0代表第0层,就是输入层,输入层将X/a[0]传给隐藏层,隐藏层产生a[1],在上图中a[1]应该是一个41的矩阵,最后的y_hat=a[2],隐藏层可能有两个相关参数w[1],b[1],这里的w应该是3 4的矩阵,b是4 * 1矩阵,4代表这里有四个输出,即a[1]是一个4 * 1的矩阵,3代表x的输入特征数,输出层有两个相关参数w[2],b[2],
计算神经网络的输出
如图所示,双层神经网络logistic函数
如图所示,这里将一层的w列为了一个矩阵,每一层的每个w都是nx * 1矩阵,和x是一样的,上图中第一层有四个结点,就用了四个w,将四个w排成一个矩阵,也就是nx * 4矩阵,然后将这个排列好的矩阵转置,变成上图所示的形状,再乘上x,再加上b,将第一层的b也设为一个矩阵,将上图总结:
伪代码如下(m个样本):
1 | for i in range(1,m): |
改进方法:将m个样本合并到一个矩阵,X是nx * m矩阵,W[i]是q * nx矩阵,q是第一层结点的数量,W[i] * X是q * m矩阵,一列表示一个样本,到最后也是,一列表示一个样本
1 | Z[1]=W[1] * X + b[1] |
向量化实现的解释
激活函数(sigmoid)可以有更多选择
激活函数
g()用更多的选择,不止sigmoid()函数
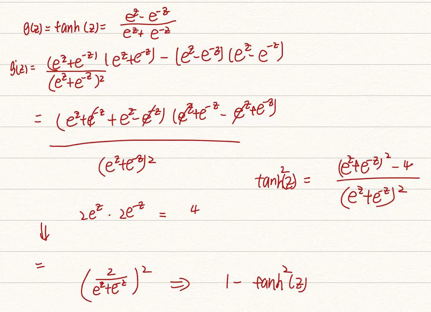
比如用tanh(z)代替sigmoid(),前者的函数:ez-e(-z)/ez+e(-z) 后者的函数:1/1+e^(-z),前者是后者的平移,且平均值为0如图所示:
当要二元分类的时候,也就是y是0/1时,用sigmoid更方便,但是在前面几层可以tanh函数
sigmoid和tanh函数的缺点,当z很大的时候,斜率很低
RelU(修正线性函数)函数:a=max(0,z),如图
选择激活函数的方法:
- 如果要求二元分类,选择sigmoid,然后其他单元都选择ReLU,ReLU运算的速度会比其他的快很多
- 有时候也用tanh
另一种ReLu函数:泄露的ReLU(leaky RelU),也就是当z小于0时,斜率不再是0,而是一个很小的数字 a=max(0.01 * z,z)
总结:
- sigmoid只用于二元分类,tanh会更优越
- ReLU在不知道用什么激活函数的时候使用
为什么需要非线性激活函数
如果让g(z)=z(恒等激活函数,一种线性激活函数方式)有什么后果
A[1]=W[1] * X +b[1]
A[2]=W[2] * A[1] + b[2]=W[2] * (W[1] * X + b[1]) + b[2]=W[1] * W[2].T * x + W[2] * b[1] + b[2]
还是W[] * X + b[]形式
通常只有输出层才能用线性激活方式
激活函数的导数
sigmoid函数导数:前面计算过一次,a=1/(1+e^(-z)),da/dz=a(1-a)
tanh函数导数:
ReLU函数:max(0,z),导数比较好计算,但是z等于0的导数需要自己定义
泄露的ReLU函数:max(0.01 * z,z),同样,z=0是需要自己定义的:
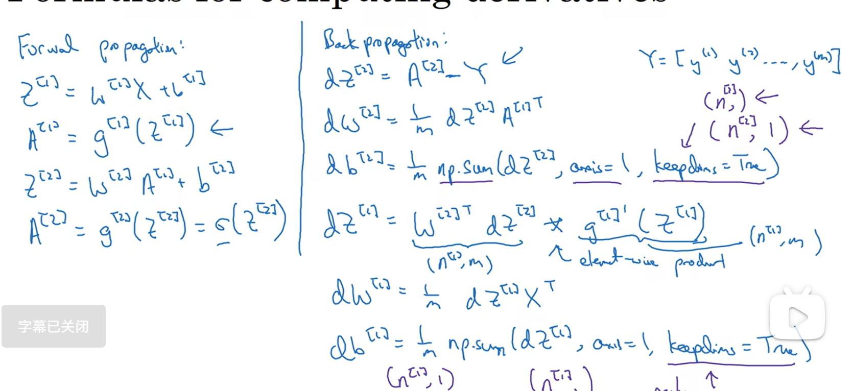
神经网络的梯度下降法
单层隐藏神经网络的反向传播:
参数设置:W[1] b[1] W[2] b[2],n[0]表示多输入特征,n[1]表示隐藏单元,n[2]表示输出单元(前面讲的情形中n[2]是1)
W[1]是n[1] * n[0],b[1]是n[1] * 1,W[2]是n[2] * n[1],b[2]是n[2] * 1
成本函数(cost function):J(W[1],b[1],W[2],b[2])=Σ(L(y_hat,y))/m,在该情形中,y_hat是a[2]
初始化参数对于梯度下降法很重要:
repeat: dw[1]=dJ/dw[1],dw[2]=dJ/dw[2],db[1]=dJ/db[1],db[2]=dJ/db[2],w[1]=w[1]-α * dw[1]……
由前面的计算得,dz[1]的乘法是相同维度的矩阵对应位置元素相乘
随机初始化
不能直接讲W1/W2都定义成zero矩阵,这样对于隐藏节点没有意义,以为相当于是用相同的方法进行计算
因此选择用随机初始化:
1 | W1=np.random.randn(n_h,n_x)*0.01 |
深度学习week1_3
install_url to use ShareThis. Please set it in _config.yml.


