深度学习week1_2
版权申明:本文为原创文章,转载请注明原文出处
深度学习week1_2
用(x,y)表示一个单独的样本,x是n维的一组向量,y标签值为0或者1
训练集由m个训练样本组成:(x1, y1) (x2, y2) (x3, y3)...(xm, ym)
x=[x1,x2,x3...xm]->n*m
y=[y1,y2,y3...ym]->1*m
训练集m_train 测试集m_test
logistic回归
针对输出标签y是0/1时(二元分类)
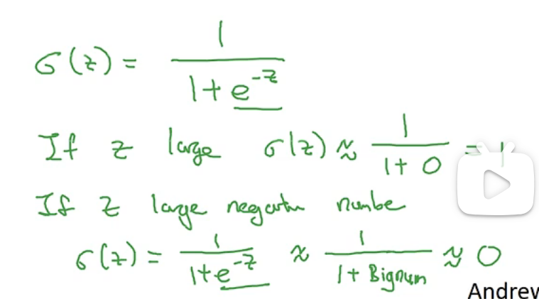
eg:判断一张图片是不是猫 y=p(y=1|x) 0<=y<=1
输入:x->n * m w->n * m b->R
输出:y
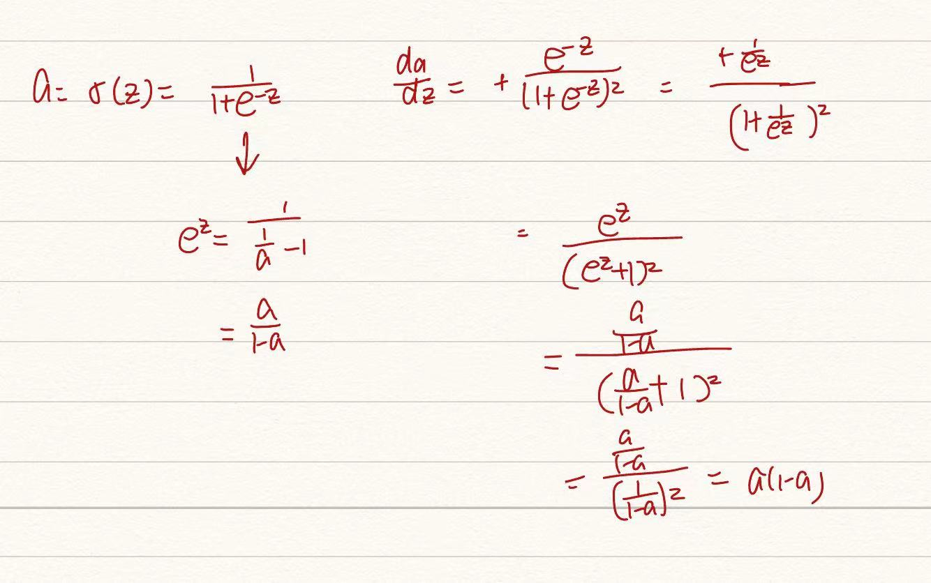
若用线性回归方程:y=w(T) * x+b 无法确保y的范围 solution: use sigmoid(Z)函数——>y=sigmoid(w^T * x+b),sigmoid为激活函数,通过该方法,b和w才是需要学习找到的参数
logistic回归损失函数
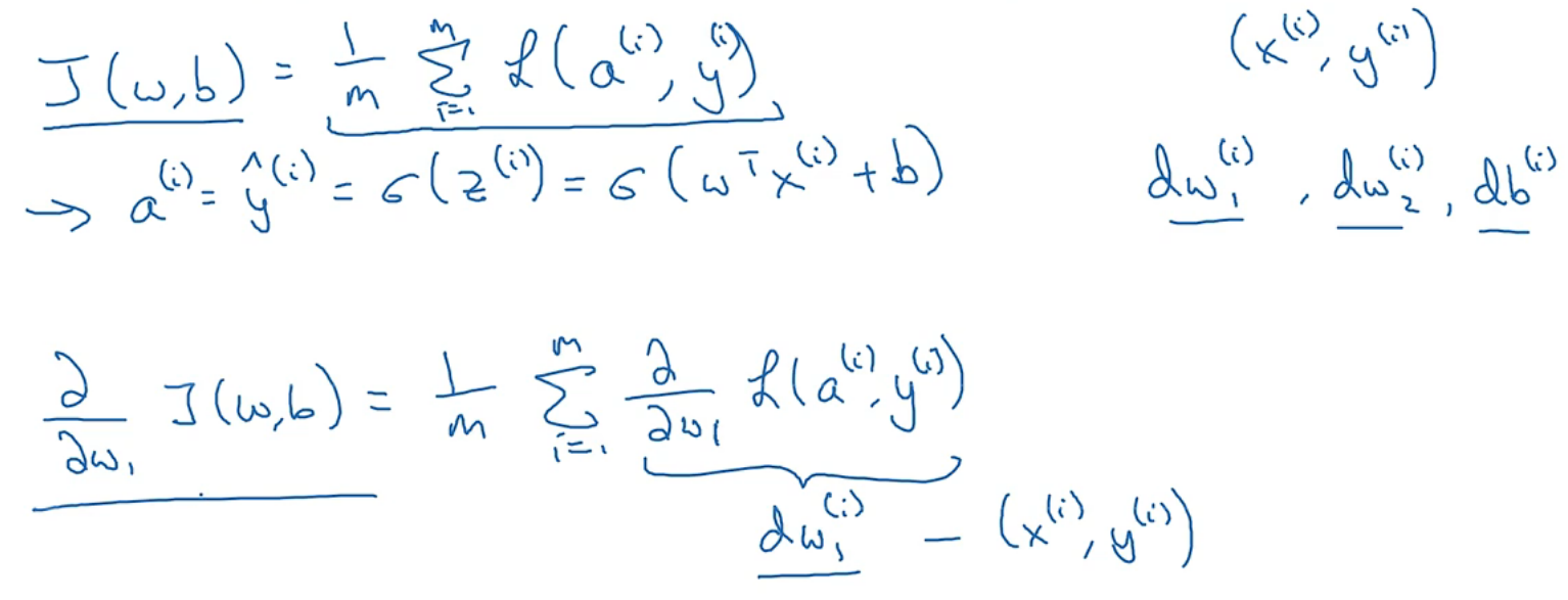
为了训练w,b需要定义一个成本函数(cost function)
令z(i)=w^T*x(i)+b
loss(error) function:
训练出的y和实际的y的差,或者是他们差平方的二分之一(但是这样不适用于梯度下降法)
逻辑回归实际使用的损失函数:

损失函数是针对单个训练样本,是衡量在单个训练样本上的表现
cost function:
- 衡量在全体训练样本的表现
- 成本函数:J(w,b)=1/m*ΣL(y(hat),y)->损失函数求和求平均值
梯度下降法(gradient decent algorithm)
用梯度下降法训练w和b,即找到令成本函数J(w,b)最小的w,b
针对这种凹图形,首先找到任意的w,b初始化,梯度下降法就是从初始点开始,朝最陡的下坡方向走一步,是梯度下降的不断迭代,到最后收敛到全局最优解
eg:α是学习率,学习率可以控制每一次迭代(步长),比如如果该点的导数小于零,w就增加,如果该点的导数大于零,w就减小,在该图中为了方便省去了b
如果考虑到w和b两个参数,就用偏导数,式子大致不变,导数变成对w/b的偏导数
计算图
正向传播 and 反向传播:
首先通过样本正向计算出神经网络的输出,紧接着进行一个反向传输操作,用来计算出对应的梯度,导数
logistic回归中的梯度下降法
eg:只有一个样本的情况
这里感觉有点懵,再解释一下:这里的x1,x2代表一个样本的两个值输入,此处的m就是1,然后初始化w1,w2,b,w也是个矩阵,和x的行数和列数一致,此处是将w置换之后再和x相乘,z应该是一个1 * 1的矩阵,再通过sigmod函数找到y(hat),也是一个1*1的函数,对应该样本的估计y(hat),再通过单个样本的损失函数计算损失
这儿的da/dz不太好理解,列了个式子:
m个样本的梯度下降
正如我们前面所知,成本函数J(w,b)是损失函数平均值,则依然用前面样本的例子J(w,b)对w1求导就是每个样本的损失函数对w1求导的平均值
用代码实现:
可以用向量化省去过于冗杂的for循环
伪代码:
1 | J=0 |
向量化
向量化用于消除for循环,将多组数据放在一个矩阵中共同运算
可扩展深度学习实现可在CPU或者GPU中执行,两者都支持并行(SIMD)
np.dot可快速计算矩阵的乘积,比for快几百倍
向量化的更多例子
等价:
np.exp(v):v矩阵每个元素进行e^运算
np.log(v)
np.abs(v):绝对值
在上面的伪代码中,就可以用向量化代替掉求每个dw[j]的循环
dw不再显示表达,而是用一个矩阵表示:
1 | dw=np.zero((nx,1)) |
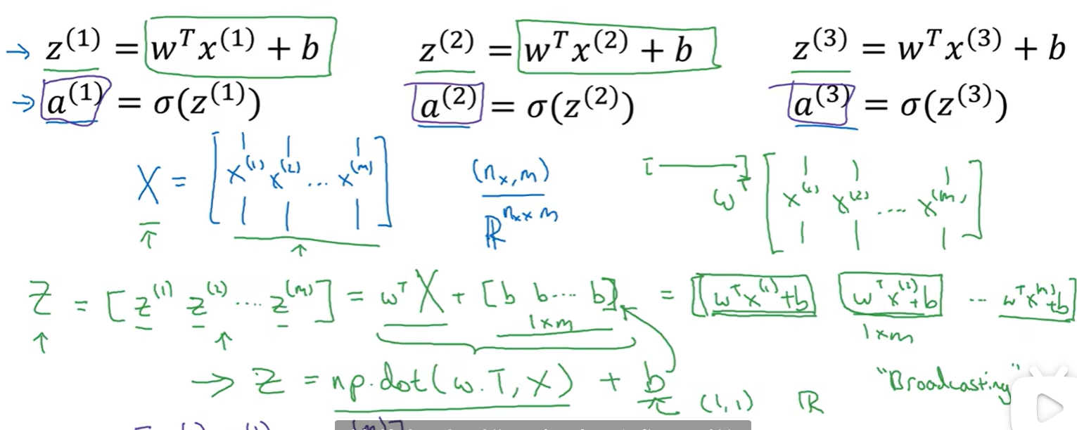
向量化logistic回归
将多个样本用一个矩阵表示
细节解释:这里用了一个矩阵加一个实数,在python中,该实数会根据前面的矩阵扩展成对应形式,即前面的矩阵的每一项都会加上b,然后得到一个新的矩阵
伪代码:
1 | A=np.zero((1,m))//m个样本 |
Python中的广播
numpy函数:
cal=A.sum(axis=0):表示将A的每一列相加形成新矩阵,如果是水平轴求和axis=1
percentage=100 * A/cal.reshape(1,4):将A的每一列的每一个值除以cal的对应列,这儿的reshape是为了确保cal是一个1*4的矩阵
python中广播常见例子:
关于python_numpy向量的说明
a=np.random.randn(5)->a.shape=(5,)
a=np.random.rand(5,1)->a.shape=(5,1)
如果定义成了第一种,可以用reshape(5,1)变成(5,1)的
作业
Consider the two following random arrays “a” and “b”:(看一下下面的这两个随机数组“a”和“b”)
a = np.random.randn(4, 3) # a.shape = (4, 3)
b = np.random.randn(3, 2) # b.shape = (3, 2)
c = a * b
What will be the shape of “c”?(请问数组“c”的维度是多少?)
*->对应元素相乘,在该题中,a和b维数不同,不是所有a/b都有对应元素,应该用np.dot
而以下情况会进行广播:
a = np.random.randn(3, 3)
b = np.random.randn(3, 1)
c = a * b->c最后是(3,3)矩阵
深度学习week1_2
install_url to use ShareThis. Please set it in _config.yml.


